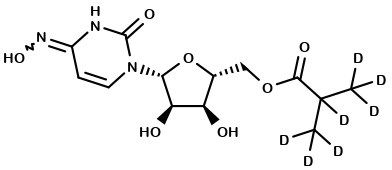
Molnupiravir D7

Molnupiravir D7

Stable Isotopes
Molnupiravir D7 is a Impurities of Molnupiravir with CAS Registry No: NA
Availability: In-stock, For Exact delivery date, please contact sales@artisbio.com

CAT No. : AC1206
API : Molnupiravir
CAS No. : NA
Inventory Status : In-stock
Synonym : ((2R,3S,4R,5R)-3,4-dihydroxy-5-(4-(hydroxyimino)-2-oxo-3,4-dihydropyrimidin-1(2H)-yl)tetrahydrofuran-2-yl)methyl isobutyrate-D7; MK-4482 D7; EIDD-2801 D7
Mol. formula : C13H12D7N3O7
Mol. Weight : 336.35
Purity (By HPLC) : >95%

Related Products

Molnupiravir... Working Standard
CAS Number: 2349386-89-4