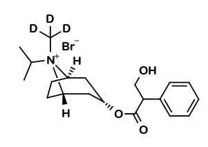
Ipratropium D3 Bromide
Ipratropium D3 Bromide
Stable Isotopes
Ipratropium D3 Bromide is a Impurities of Ipratropium
with CAS Registry No: Availability: , For Exact delivery date, please contact sales@artisbio.com
| CAT No. : | AC0454 |
|---|---|
| API : | Ipratropium |
| Synonym : | (1R,3r,5S,8s)-3-((3-hydroxy-2-phenylpropanoyl)oxy)-8-isopropyl-8-methyl-8-azabicyclo[3.2.1]octan-8-iumbromide-D3 |
| Mol. formula : | C20H27D3BrNO3 |
| Mol. Weight : | 415.39 |