Cetirizine D4

Cetirizine D4

Stable Isotopes
Cetirizine D4 is a Impurities of Cetirizine with CAS Registry No: 1219803-84-5
Availability: , For Exact delivery date, please contact sales@artisbio.com

CAT No. : AC0070
API : Cetirizine
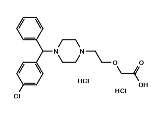
CAS No. : 1219803-84-5
Synonym : [2-[4-[(4-Chlorophenyl)phenylmethyl]-1-piperazinyl]ethoxy-d4]acetic Acid Dihydrochloride; Alercet-d4; Alerid-d4; Alerlisin-d4; Cesta-d4; Cetiriz-d4; Cetirizine-d4 Dihydrochloride; Cetirizine-d4 Hydrochloride; Cetrak-d4; Cetrine-d4; Cetrizet-d4; Cistamine-d4; Epirizine-d4; Formistin-d4; Histazine-d4; Histazine-1-d4; Nosemin-d4; P 071-d4; Reactine-d4; Riztec-d4; Ryzen-d4; Sancotec-d4; Selitex-d4; Tomazine-d4; Triz-d4; UCB-P 071-d4; Virlix-d4; Zeran-d4; Zirtec-d4; Zirtek-d4; Zirtin-d4; Zyrlex-d4; Zyrtec-d4; Zyrzine-d4
Mol. formula : C21H23D4Cl3N2O3
Mol. Weight : 465.83

Related Products

Cetirizine Dihydrochlorid... Working Standard
CAS Number: 83881-52-1
Cetirizine Impurity D... Impurities
CAS Number: 346451-15-8
Cetirizine Impurity C... Impurities
CAS Number: 83881-59-8
Cetirizine impurity B 2HC... Impurities
CAS Number: 113740-61-7
Cetirizine 3-chloro Impur... Impurities
CAS Number: 1232460-29-5
Cetirizine D8... Stable Isotopes
CAS Number: 774596-22-4