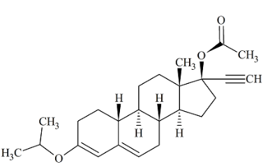
delta-5(6)-Norethindrone

delta-5(6)-Norethindrone

Impurities
delta-5(6)-Norethindrone is a Impurities of Norethindrone with CAS Registry No: 22933-71-7
Availability: , For Exact delivery date, please contact sales@artisbio.com

CAT No. : AA0006
API : Norethindrone
CAS No. : 22933-71-7
Synonym : (17?)-17-Hydroxy-19-norpregn-5-en-20-yn-3-one; 17-Hydroxy-19-nor-17?-pregn-5-en-20-yn-3-one; Norethisterone Impurity C (EP); Norethindrone EP Impurity C
Mol. formula : C20H26O2
Mol. Weight : 298.42

Related Products

Norethindrone Diacetate... Impurities
CAS Number: 2205-78-9
4,5-Dihydro-6-ketonorethi... Impurities
CAS Number: 53697-08-8
Norethindrone Acetate-2,2... Stable Isotopes
CAS Number: NA
Norethindrone-2,2,4,6,6,1... Stable Isotopes
CAS Number: NA
Norethindrone Acetate-2,2... Stable Isotopes
CAS Number: NA
Norethindrone-2,2,4,6,6,1... Stable Isotopes
CAS Number: NA
6,7-Dehydro Norethindrone... Impurities
CAS Number: 106765-04-2
6-Keto Norethindrone Acet... Impurities
CAS Number: 438244-27-0
6alpha-Hydroxy Norethindr... Impurities
CAS Number: 6856-28-6
6beta-Hydroxy Norethindro... Impurities
CAS Number: 6856-27-5
Norethindrone acetate-3-e... Impurities
CAS Number: 50717-99-2
6,7-Dehydro Norethindrone... Impurities
CAS Number: 31528-46-8
6-Keto Norethindrone... Impurities
CAS Number: 67696-78-0
6alpha-Hydroxy Norethindr... Impurities
CAS Number: 438244-33-8
6beta-Hydroxy Norethindro... Impurities
CAS Number: 51724-44-8
Norethindrone-3-ethyldien... Impurities
CAS Number: 96487-83-3
Norethindrone-3-ethyldien... Impurities
CAS Number: 96487-83-3