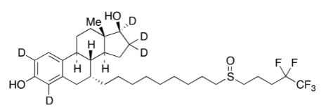
6,7-Dehydro Fulvestrant-9-sulfone

6,7-Dehydro Fulvestrant-9-sulfone

Impurities
6,7-Dehydro Fulvestrant-9-sulfone is a Impurities of Fulvestrant with CAS Registry No:
Availability: , For Exact delivery date, please contact sales@artisbio.com

CAT No. : AA0117
API : Fulvestrant
Synonym : 7alpha-[9-[(4,4,5,5,5-Pentafluoropentyl)sulfonyl]nonyl]estra-1,3,5(10),6(7)-tetraene-3,17beta-diol
Mol. formula : C32H45F5O4S
Mol. Weight : 620.75

Related Products

Fulvestrant... Working Standards
CAS Number: 129453-61-8
Fulvestrant-D3... Stable Isotopes
CAS Number: NA
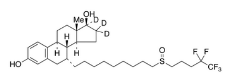
Fulvestrant-9-sulfone-D3... Stable Isotopes
CAS Number: NA
Fulvestrant-D5... Stable Isotopes
CAS Number: NA
Fulvestrant-9-sulfone... Impurities
CAS Number: 98008-06-1