支持 :
+86-13918153394
       
 
我们的品质 :
ISO 2001:9005
中
 
EN
 
JP
 
KO
首页
关于我们
产品
定制合成
定制分析
联系我们
最优质的产品
Artis Biotech 拥有全球最大的定制合成产品库存,以及最全面的认证分析标准品和参考化学品数据库,为您的科研与生产提供无缝支持,加速进程。
所有产品 : 'Aliskiren'
产品总数: 1
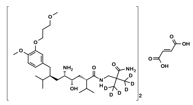
Aliskiren D6 Hemifumarate...
STABLE ISOTOPES
CAS Number: 1246815-96-2 (HCl)
查看详情